热门关键词:

您的位置: 主页 > 钢绳百科 >

钢丝绳全面解读

作者: admin 编辑: admin 来源:admin 发布日期:2019-09-03 18:39
信息摘要:
很早以前,人们就开始使用金属丝搓捻的绳索,最初用在矿山作提升索。第一根钢丝绳,是在1834年由德国人奥鲁勃特用手工搓捻的,由3股组成,每股仅4根钢丝,钢丝的强度极限为400
      很早以前,人们就开始使用金属丝搓捻的绳索,最初用在矿山作提升索。第一根钢丝绳,是在1834年由德国人奥鲁勃特用手工搓捻的,由3股组成,每股仅4根钢丝,钢丝的强度极限为400~500MPa。当时尽管结构最简单,寿命短,但能满足挠性传动的需要。因此,在许多场合很快就取代了有机物绳索和金属链条。后来由于矿山工业的发展,要求钢丝绳有更高的强度和寿命,于是逐步采用含碳量较高的钢材料来拉制钢丝。随后又出现了“铅淬火”热处理新工艺,使制绳钢丝的质量不断得到改善,在一定程度上满足了矿山工业发展的需要。在钢丝绳结构发展过程中,最早使用的是6股、每股7丝(6×7)钢丝绳。因钢丝较粗,耐磨损、耐锈蚀能力强,很适合用于牵引。后来由于新型起重机械的出现,要求有较高的绳速,较小的滑轮。为了满足要求采用增加丝数、减小丝径来提高钢丝绳的韧性和强度,而出现了6×19和6×37。其结构形式是采用相同丝径、不同捻距来捻制,构成点接触股钢丝绳,称为非平行捻股钢丝绳。在使用过程中,人们发现点接触股钢丝绳易产生疲劳断丝,使用寿命短。随着矿山工业及起重运输业的发展,对钢丝绳提出了更高的要求,于是又出现了用不同丝径、相同捻距来捻制构成的线接触股,称为平行捻股钢丝绳。国外从20世纪50年代初开始生产单一的西鲁式(S)、瓦林吞式(W)、填充式(F),我国是从60年代开始生产。与点接触股比,具有耐弯曲疲劳性能好、结构紧密、破断力大、寿命较长等优点,得到了广泛使用。经过不断完善和改进,后来又出现了以WS和下S为基本型的二元组合式。为某些重要用途的需要,又发展了F:WS三元组合式。线接触股钢丝绳的普遍使用,使得点接触股钢丝绳逐渐被取代。
      采用平行捻加工方法,可以获得结构紧密,破断拉力提高等优点。对于单层般钢丝绳,也可以将绳式芯中的股与绳中的外层股之间,按S、W、F;及WS形式来配比和排列,构成全线接触的满充式钢丝绳,又称为平行捻钢丝绳。由于结构紧密、破断拉力大,广泛使用于矿山电铲。
      为了综合点接触与线接触的结构及捻制加工特点,点一线接触股与点-线接触钢丝绳得到了应用。在点一线接触股中,利用不同捻向、匹配不同的捻角、丝径和丝数,来达到各钢丝层的扭矩平衡,构成具有稳定股的单层不扭转钢丝绳。在点一线接触多层股钢丝绳中,变换股层捻向、匹配捻角、股径及股数,来达到各股层的扭矩平衡。
通过改变绳内钢丝的接触状态获得了好处,使人们想到再提高一步,于是出现了对线接触股进行压实加工使其成为面接触股,称为压实股钢丝绳。与线接触股比,结构更加紧密,破断拉力大,接触应力减小,表面光滑,耐磨性能提高。压实加工其方法有:模体拉拔、辊模拉拔、轧制和锻打。采用锻打法不仅能生产压实股,还可以通过对整绳经过连续锻打,加工成压实钢丝绳。与压实股钢丝绳相比,金属断面系数、破断拉力都有所提高,尤其绳表面光滑平整,很适合要求耐磨损耐挤压的绳轨道。但由于锻打后绳内变形不均,刚性加大,弯曲疲劳性能降低。
为提高钢丝绳的结构性能和使用性能,满足各种使用场合需要,将线接触股与压实股进行优化组合,将压实股排列在外层,优势互补,在国外得到了广泛应用。
为了改善钢丝绳与滑轮(或绳轮)绳槽的接触条件,增加支撑表面,减小接触应力,而导致异形股钢丝绳的生产,有三角股和椭圆股。我国目前生产和使用较多的是三角股钢丝绳,多为点接触但也有线接触。国外有向面接触三角股发展的趋势。
       由上述可见,钢丝绳股内钢丝之间的接触状态是按点、线、面的顺序发展而来的;股的形状由圆形发展为异形,而钢丝绳的最佳结构将是两者之间的优化组合。
为了扩大使用范围,提高钢丝绳使用寿命,涂(填)塑新结构、新工艺得到了迅速发展。通过对绳本身及各螺旋元(钢丝、股、绳芯)表面涂塑包覆,或者是对各螺旋元之间的空隙进行填塑,以阻止有害介质的侵蚀,提高抗腐蚀能力。这些涂覆层或充填物,一方面,可以改善钢丝层或股层之间的接触状态,减轻摩擦,提高耐磨性能;另一方面,在受到冲击载荷时,可以起到缓冲作用。这类钢丝绳我国还处于起步发展阶段。
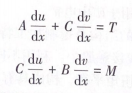
从材料力学中知道,在杆件受拉伸与扭转时,力与变形之间的关系用两个独立静力方程来表示。提升钢丝绳承载受拉时伴随有扭转,因此,抗伸静力方程与扭转静力方程共存。钢丝绳乃是一个复杂的静不定杆件系,M.).格卢什科根据用于细长杆件的基尔赫哥夫方程,第一个运用建筑力学方法导出了拉伸与扭转的联合方程:
式中,A、B、C为钢丝绳的综合刚度系数;u,v为钢丝绳的纵向位移和角位移T、M为钢丝绳承受的轴向拉力和扭转力矩;x为悬垂钢丝绳轴线坐标。从联合方程看出,拉伸与扭转是互相影响的,承载时的拉伸引起扭转,而扭转反过来又影响纵向变形。松捻扭转u增加(捻距加长),或者是紧捻扭转.减小(捻距缩短),影响程度的大小决定于系数C。这就是直线钢丝绳的静力学原理,从根本上改变了关于钢丝绳内力状态的看法。
系数C实际上也是刚度系数,它与各钢丝层或股层之间的捻向及捻角有关,适当选取各层之间的不同捻向和捻角,可以使得C=0,这种钢丝绳扭转很小。
这就是不扭转钢丝绳构成的基本理论。
       钢丝绳在卷筒或绳轮上弯曲时的应力计算,最早是烈洛公式:
在直线段与弯曲段之间的过渡段,因钢丝绳轴线的曲率是变化的(由零变化到1/R),每根钢丝获得不等的附加轴向位移,而由此带来附加轴向拉力。根据研究分析,在缠人点(弯曲段与过渡段的分界点)位置,附加轴向拉力最大。随着往直线段过渡逐渐减小,在某一位置由于摩擦力的作用,减至为零。要精确计算是很困难的,在C.T.谢尔益耶夫的著作中,提出了在确定钢丝绳中任一钢丝的最大附加轴向拉力时,可按简化公式计算:

 
式中,P,为最小钢丝破断拉力总和;T为钢丝绳承受的最大静拉力;m为安全系数。静力安全系数法完全没有考虑钢丝绳结构的复杂性,以及钢丝绳中实际应力的分布状态,是带有假定性质的。一般来说,在同一个使用工况下,不同结构钢丝绳具有不同的使用期限,对它们规定为同一个安全系数是不确切的。按假定的安全系数来选择钢丝绳没有实际应用价值,早就希望在工程技术中,有较完善的提升钢丝绳力学原理和强度理论,这种理论不仅用于提升钢丝绳选择计算,而且对于进一步完善钢丝绳结构都是需要的。
提升钢丝绳承载受拉时伴随有扭转,由于扭转使得各股层或钢丝层之间的内力重新分布,造成某些钢丝过载提前破断,从而缩短钢丝绳服务期限。为了充分利用钢丝绳的金属断面,发挥其承载能力,对各股层或钢丝层根据内力分布大小,按等强度理念来匹配抗拉强度等级,使其安全系数接近于实际应力状态。提升钢丝绳强度计算应包括:(1)直线段,在拉伸与扭转共同作用下,股层及钢丝层之间的内力分布,以及股中单根钢丝内力;(2)弯曲段,不同曲率钢丝的弯曲应力;(3)过渡段,不同位置钢丝附加轴向拉力;(4)钢丝全应力及合成安全系数。
提升钢丝绳耐久性计算在工程实践中具有一定的价值,但目前还是建立在纯榨经验数据上。在Ⅱ.Ⅱ.涅撕捷罗夫的著作中[],对矿山提升钢丝绳的耐力计算有详细论述,所得出的影响系数都是经实地考察调研获得的。目前有关提升钢丝绳的耐久性计算方法,在工程实践中还没有得到广泛应用,其主要原因是没有精确的试验和统计资料。

本文标签

本网站内容由昌源钢绳小编整理、编辑、发布。如您转载时,请带上本文标题与链接,昌源钢绳感谢您的支持,我们会一如既往提供高质量钢丝绳产品与优质的技术指导服务,昌源钢绳感谢有您相伴!
百瑞彩票 标题:钢丝绳全面解读 链接:/gangshengbaike/192.html

【相关推荐】
推荐资讯
浅介工程起重机钢丝绳

浅介工程起重机钢丝绳

引言 钢丝绳的优势:耐腐
01-15
悬索桥吊索用钢丝绳及其

悬索桥吊索用钢丝绳及其

Abstract 一种悬索桥吊索用
10-05
《悬索桥吊索用钢丝绳》

《悬索桥吊索用钢丝绳》

标准号:GB/T38818-2020 中文
10-05
我们为什么要制造特种钢

我们为什么要制造特种钢

一、我们为什么要制造特
08-17
6X36WS+FC,6X36WS+IWR钢丝绳

6X36WS+FC,6X36WS+IWR钢丝绳

08-17

咨询热线

17895159080
澳门灵蛇网4949-香港灵蛇网论坛资料大全最新-灵蛇网4846cc最新版本更新内容-灵蛇网4668cc-灵蛇澳门2025年今晚看 香港六玄开奖网-六玄网132432-六玄神马开奖44579-六玄公式6588777-六玄神马免费中特料-澳彩六玄网论坛6258cmcc 灵蛇澳门2025年今晚看-灵蛇网4846cc-灵蛇网免费资料大全--灵蛇网4846cc最新版本更新内容-澳门灵蛇网4949 天游8线路检测中心|欢迎您 welcome如意彩|首页 辉耀彩 - 首页